天天色草I99热.comIav免费在线观看1I亚洲天堂精品视频I成人一级影视I久久高清免费视频

全國服務熱線

0917-312584915891077471

鈦合金鍛件·鈦合金棒鈦加工件生產制造商
鈦合金管鉆桿在特深井修井作業中的適應性研究
搜索:
當前所在位置:首頁 >> 新聞資訊 >> 行業資訊

鈦合金管鉆桿在特深井修井作業中的適應性研究

發布時間 :2021-08-10 05:50:00 瀏覽次數 :

引 言

在特深井修井作業中, 修井鉆具面臨強度低、修井機負載高等難題, 常規S135 鋼鉆具已經不能完全滿足作業需求。鈦合金具有密度低、強度高、抗腐蝕性能和耐疲勞性能好等特性, 近年來在工程實際中得到了廣泛應用。在石油工程中使用鈦合金鉆桿可減輕地面設備負載、減少水力損失、提高延伸位移等。鈦合金鉆桿在超短半徑鉆井、超深井鉆井和深水鉆井中應用時技術優勢明顯。從技術角度篩選, 鈦合金鉆具能全面滿足特深井修井作業需求。

早在20 世紀90 年代, 美國就已經實現了鈦合金管材在石油天然氣勘探開發領域的工業化應用[1-2] 。應用最為成熟的是美國RMI 公司[3] , 該公司于20 世紀90 年代開發出一種合金含量低、材料成本低以及加工性能良好的α+β 型Gr. 28 鈦合金,并用于油井管的生產制造, 在滿足油氣生產強度與耐蝕性要求的前提下, 顯著降低了鈦合金油井管的生產成本。Weatherford 公司的子公司Grant Prideco及RTI 國際公司在Texas 的子公司(RTI 能源系統公司), 于21 世紀初研制出強度高、撓性和耐用性好, 而且質量輕、耐腐蝕的鈦合金鉆桿[4-7] , 鉆桿本體材料采用Ti-6Al-4V (ASTM5) 合金, 屈服強度為840 MPa, 相當于S135 鋼鉆桿強度與質量比值的1.54 倍, 疲勞壽命比鋼鉆桿延長了近10 倍。

國內只有少數幾家研究院所和制造廠進行鈦合金材料在石油天然氣鉆完井領域的先期研究。中國石油管工程技術研究院進行了鈦合金油井管全面的試驗研究工作, 并與制造廠合作開發出鈦合金油管, 目前正在逐步推廣應用。

1、鈦合金鉆桿力學性能測試

1. 1 硬度測試

采用TC4U 鈦合金, 依據文獻[8] 進行試驗。試驗時, 對一定直徑的硬質合金球施加試驗力壓入試樣表面, 規定保持時間后卸除試驗力, 測量試樣表面壓痕的深度, 由壓痕的深度求出材料硬度。試驗原理如圖1 所示。

試驗原理如圖1

鈦合金材料摩擦焊區剖面硬度測試位置示意圖

如圖2 所示。鈦合金材料接頭硬度和管體硬度測試

摩擦焊區剖面硬度測試位置示意圖

結果如表1 所示。

鈦合金材料不同位置硬度測試結果HRC

焊區不同位置(1~14) 剖面硬度分別為30. 3、30. 5、30. 4、33. 2、31. 2、31. 4、31. 8、31. 1、31. 1、30. 2、33. 2、31. 1、30. 6 及31. 3 HRC。

測試結果表明, 鈦合金管體硬度平均值為34. 5 HRC, 大于鈦合金接頭硬度平均值30. 3HRC。鈦合金焊區剖面硬度在14 個試驗點中硬度平均值為31. 2 HRC, 且無明顯波動點。

1. 2 拉伸性能測試

采用TC4U 鈦合金, 依據文獻[9]進行拉伸試驗。其不同位置拉伸試驗結果如表2 所示。試驗數據表明, 管體抗拉強度與屈服強度最強, 焊縫處伸長率最高。

1. 3 旋轉彎曲疲勞測試

采用TC4U 鈦合金, 依據文獻[10]進行旋轉彎曲疲勞測試。試驗原理為試樣旋轉并承受彎矩, 產生彎矩的力恒定不變且不轉動。試驗一直進行到試樣失效或超過預定應力循環次數。試驗測得數據如表3 和表4 所示。

TC4U 鈦合金旋轉彎曲疲勞測試結果

S135 鉆桿鋼旋轉彎曲疲勞測試結果

試驗結果表明, 在鉆井液環境中鈦合金鉆桿材料旋轉彎曲壽命可超過107 次, S135 鉆桿鋼只能達到105 ~106 次。

2、鈦合金鉆桿管體強度計算

管體抗拉強度和抗內壓強度一般與套管鋼級和壁厚等有關。通常來說, 管體鋼級和壁厚越大, 其抗拉強度和抗內壓強度越高[11] 。

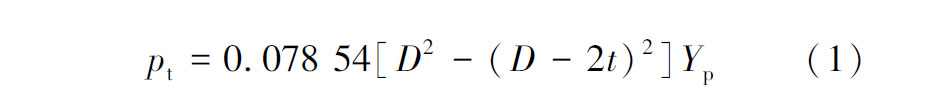
鈦合金管體抗拉強度計算公式為:

gs1.jpg

式中: pt為管體抗拉強度, MPa; D 為管體外徑,mm; t 為管體壁厚, mm; Yp為材料最小屈服強度,MPa。

鈦合金管體抗內壓強度計算公式為:

gs2.jpg

式中: pi為管體抗內壓強度, MPa。

由式(1) 和式(2) 可知, 在外徑、壁厚和鋼級相同的條件下, 鈦合金鉆桿的管體抗拉強度和抗內壓強度與對應鋼鉆桿的管體抗拉強度和抗內壓強度相等, 鈦合金鉆桿的抗外擠強度計算需要進一步開展管體擠毀試驗以確定標定值。

3、鈦合金鉆桿在特深井修井作業中的使用性能研究

3. 1 鉆具組合優化設計

以順北特深井為例, 最大井深8225 m, 修井作業中涉及上提、下放、旋轉鉆進和打撈解卡等工序。為了解決特深井修井作業中鉆具組合強度、鉤載和水力參數等問題, 設計了特深井修井作業的鈦合金+鋼鉆桿復合鉆具組合, 相關參數對比如表5所示。

原鉆具組合與鈦合金+鋼鉆桿復合鉆具組合對比

采用原鉆具組合的軸向載荷及抗拉強度校核結果

使用鈦合金+鋼鉆桿復合鉆具組合的軸向載荷及抗拉強度校核結果

3. 2 軸向載荷及抗拉強度校核

采用原鉆具組合的軸向載荷及抗拉校核結果如表6 所示。?88. 9 mm+?73. 0 mm S135 鋼鉆具組合(鉆具長度8 225 m), 鉆具自重1 284 kN (考慮浮力), 一旦作業過程中遇卡, 需進行解卡作業, 作業管柱最小安全系數為1. 16, 不滿足現場要求(作業管柱安全系數≥1. 3), 解卡作業最大鉤載達到1 784 kN, 而XJ850 修井機最大載荷為2 250kN, XJ850 修井機最大安全提升載荷為1 800 kN,已經接近修井機最大安全鉤載極限。

使用鈦合金+鋼鉆桿復合鉆具組合的軸向載荷及抗拉強度校核結果如表7 所示。?101. 6 mm 鈦合金+?88. 9 mm V150+?73. 0 mm V150 鉆具組合, 鉆具自重1 019 kN (考慮浮力), 作業管柱最小安全系數為1. 59, 滿足現場要求, 解卡作業最大鉤載達到1 519 kN, 未超過XJ850 修井機安全提升載荷。因此, 使用鈦合金鉆桿能夠很好地解決特深井

修井作業中鉆具抗拉安全系數低以及修井機負載高等難題。

3. 3 沖砂作業水力性能研究

3. 3. 1 砂粒沉降速度計算方法

砂粒的沉降速度直接影響最小注入速度和沖砂工作排量, 因此準確計算砂粒的沉降速度至關重要。計算砂粒沉降速度的常用方法有牛頓-雷廷格計算法、莫爾計算法、劉希圣推導法、斯篤克計算法和模擬試驗法等。各種方法具體的計算公式如表8 所示。

砂粒沉降速度計算方法

為準確計算, 本文采用前3 種計算方法計算后, 取其平均值獲得砂粒沉降速度。

3. 3. 2 沖砂作業水力參數計算

研究表明[17] : 當液體上返速度和砂粒在沖洗液中沉降末速的比值(即vl / vt ) 為1. 6 ~ 1. 7 時,砂粒在上升液流中呈懸浮狀態; 而當液流上返速度稍增加時, 砂粒便開始上升。因而, 保證將砂粒帶出地面的條件是vl / vt≥2, 即最小注入速度vmin =2vt。

當沖砂液黏度為20 mPa?s 時, 計算出兩種不同鉆具組合使砂粒上返的臨界排量, 在對應的臨界排量下, 兩種不同鉆具組合的循環摩阻隨砂粒直徑的變化規律如圖3 所示。由圖3 可知: 隨著砂粒直徑的增大, 兩種鉆具組合的循環摩阻均逐漸增大;采用鈦合金+鋼鉆桿復合鉆具組合后, 鉆桿內流道直徑增大, 循環摩阻顯著降低。

沖砂作業水力參數計算

當砂粒直徑為8 mm 時, 在循環泵壓為25 MPa的要求下, 兩種不同鉆具組合的最大排量隨液體黏度的變化規律如圖4 所示。由圖4 可知: 隨著液體黏度的增大, 兩種鉆具組合的最大循環排量均逐漸減小; 采用鈦合金+鋼鉆桿復合鉆具組合后, 鉆桿內流道直徑增大, 循環排量顯著提高。

兩種不同鉆具組合的最大排量隨液體黏度的變化規律

4 結 論

(1) 硬度、拉伸性能和旋轉彎曲疲勞測試結果表明, 鈦合金材料具有良好的力學性能, 鈦合金鉆桿材料旋轉彎曲壽命可超過107 次, S135 鉆桿鋼只能達到105 ~106次。

(2) 通過鉆柱優化設計, 形成了一套用于特深井修井作業的鈦合金+鋼鉆桿復合結構的鉆具組合, 使用該復合鉆具組合后, 解卡作業最大鉤載由1 784 kN 降低至1 519 kN, 作業管柱最小安全系數由1. 16 升高至1. 59, 解決了特深井修井作業中鉆具強度低以及修井機負載高的難題。

(3) 通過研究沖砂作業過程中砂粒沉降速度及合理環空上返速度計算方法, 對比分析了原鉆具組合和鈦合金+鋼鉆桿復合鉆具沖砂作業水力性能。分析結果表明, 采用鈦合金+鋼鉆桿復合鉆具組合后, 鉆桿內流道直徑增大, 循環摩阻顯著降低, 循環排量顯著提高。

參考文獻

[1] 張峰, 黃文克, 李遠征, 等. 鈦合金油井管應用研究現狀及進展[J]. 焊管, 2017, 40 (11): 7-11.

[2] 劉強, 宋生印, 李德君, 等. 鈦合金油井管的耐腐蝕性能及應用研究進展[J]. 石油礦場機械, 2014,43 (12): 88-94.

[3] SCHUTZ R W, WATKINS H B. Recent developmentsin titanium alloy application in the energy industry [J].Materials Science and Engineering A, 1998, 243

(1/2): 305-315.

[4] 胡辛禾. 鈦合金鉆桿———短半徑水平鉆井最佳選擇[J]. 石油機械, 2000, 28 (6): 61.

[5] 馮秋元. 抗腐蝕鈦合金油管井首次在超深高含硫氣井應用[J]. 中國鈦業, 2015 (2): 49.

[6] 付亞榮, 谷勝群, 宋惠梅, 等. 鈦合金管材在高含硫天然氣開發中的應用現狀[J]. 石油機械, 2018,46 (3): 116-124.

[7] 趙奇祥, 趙煒. 用于短半徑鉆井的鈦合金鉆桿[J].石油機械, 2001, 29 (5): 54-56.

[8] 全國鋼標準化技術委員會. 金屬材料布氏硬度試驗第1 部分: 試驗方法: GB/ T 231. 1—2009 [S]. 北京: 中國標準出版社, 2009.

[9] 全國鋼標準化技術委員會. 金屬材料室溫拉伸試驗方法: GB/ T 228—2002 [S]. 北京: 中國標準出版社, 2002.

[10] 全國鋼標準化技術委員會. 金屬材料疲勞試驗旋轉彎曲方法: GB/ T 4337—2008 [S]. 北京: 中國標準出版社, 2008.

[11] 趙春暉. 套管柱優化設計研究[D]. 北京: 中國石油大學(北京), 2016.

[12] 沈燕來, 陳建武. 沖砂洗井水力計算方法綜述[J]. 水動力學研究與進展(A 輯), 1998, 13(3): 347-353.

[13] 賴楓鵬, 李治平, 岑芳, 等. 水平井水力沖砂最優工作參數計算[ J]. 石油鉆探技術, 2007, 35(1): 69-71.

[14] 劉希圣, 蔣金純. 關于確定合理環空返速問題的探討[J]. 石油鉆采工藝, 1984, 6 (2): 1-12.

[15] 劉希圣. 鉆井工藝原理(中冊) [M]. 北京: 石油工業出版社, 1998.

[16] STOKE G G. On the effect of the internal friction of fluidson the motion of pendulums [ J]. Trans. CambridgePhilo. Soc. , 1851, 9 (2): 89-106.

[17] 何銀達, 張玫浩, 秦德友, 等. 連續油管沖砂解堵工藝在超高壓深井中的應用[ J]. 鉆采工藝,2018, 41 (2): 119-121.

第一作者簡介: 康紅兵, 高級工程師, 生于1978 年,2003 年畢業于西南石油大學石油工程專業, 現從事井下作業工藝研究工作。地址: (830000) 新疆烏魯木齊市。電話:

(0991) 3161611。E-mail: 1414068199@ qq. com。

相關鏈接

在線客服
客服電話

全國免費服務熱線
0917 - 3125849
掃一掃

bjjwtai.com
巨偉鈦業手機網

返回頂部